近期,51暗网 孔俊教授在国际水文学顶级刊物《Water Resources Research》发表论文“Improvement of the Hillslope-Storage Boussinesq model by considering lateral flow in unsaturated zone”。
该研究改进了传统Hill Slope Boussinesq (HSB)模型,提出了全新的HSB方程理论(U-HSB模型),首次明确了排水过程的两个不同阶段:前期非饱和流、饱和流共同排水,后期非饱和流持续排水。通过以解析形式表征非饱和流的排水强度,阐明了非饱和区排水过程的重要贡献,提供了一个评价非饱和流的重要指标。同行专家认为This paper makes a significant contribution to hydraulic groundwater theory applicable to hillslope and catchment hydrology. This paper clearly improves the scientific understanding of hillslope storage and runoff processes(这一成果的发现,是水文学领域的重大贡献,明显提高了我们对边坡集排水过程的科学认识)。
这是孔俊教授在国际水文学权威刊物《Water Resources Research》、《Journal of Hydrology》和《Hydrological Processes》等刊物上连续发表的第5篇关于滨海地下水波动理论研究的文章。
根据中国科学技术信息研究所期刊分区数据,《Water Resources Research》(影响因子3.792),属水文水资源领域的一区TOP刊物。



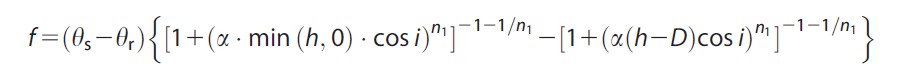
图1 考虑非饱和流贡献的Hillslope-Storage Boussinesq方程

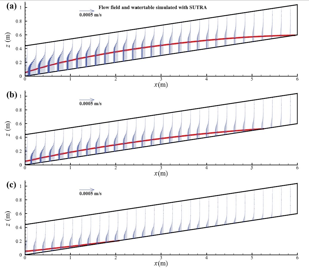
图2 不同阶段的排水特征
(a) 前期和中期阶段的饱和区主导排水; (b) 后期阶段的非饱和区补给排水

图3 排水不同阶段边坡内的流态特征(红色为潜水面,蓝色为流矢)

